publications
Selected publications in reversed chronological order.
2024
- JPCL
Taming Negative Ion Resonances Using Nonlocal Exchange-Correlation FunctionalsAbhisek Ghosal, Pulkit Joshi, and Vamsee K. VooraJournal of Physical Chemistry Letters, May 2024The characterization of negative ion resonances poses a fundamental challenge to density functional methods due to the unbound nature of resonances. To overcome this challenge, we propose one-particle nonlocal exchange-correlation (xc) potentials combining the exact-exchange (EXX) and the random phase approximation (RPA) correlation potentials. The negative ion resonances are identified by perturbing the real Hermitian nonlocal xc potentials using complex absorbing local potentials. Our studies show that the nonlocal EXX+RPA potential significantly enhances the description of positions and widths of negative ion resonance states compared to potentials that exclude dynamic polarization in RPA or include only EXX. The use of low-scaling algorithms simplifies the computation of the RPA potential, thereby providing a practical solution for resonance-state characterization within the density functional framework. A theoretical framework and the underlying assumptions required for combining real Hermitian nonlocal xc potentials with complex local potentials are discussed.
@article{ghosal2024resonances, title = {Taming Negative Ion Resonances Using Nonlocal Exchange-Correlation Functionals}, author = {Ghosal, Abhisek and Joshi, Pulkit and Voora, Vamsee K.}, journal = {Journal of Physical Chemistry Letters}, volume = {15}, number = {19}, pages = {4896--4903}, year = {2024}, month = may, doi = {10.1021/acs.jpclett.4c00717}, } - JCP
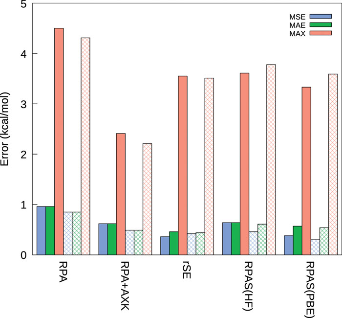
Generalized perturbative singles corrections to the random phase approximation method: Impact on noncovalent interaction energies of closed- and open-shell dimersPulkit Joshi and Vamsee K. VooraJournal of Chemical Physics, 2024The post-Kohn-Sham (KS) random phase approximation (RPA) method may provide a poor description of interaction energies of weakly bonded molecules due to inherent density errors in approximate KS functionals. To overcome these errors, we develop a generalized formalism to incorporate perturbative singles (pS) corrections to the RPA method using orbital rotations as a perturbation parameter. The pS schemes differ in the choice of orbital-rotation gradient and Hessian. We propose a pS scheme termed RPA singles (RPAS)[Hartree-Fock (HF)] that uses the RPA orbital-rotation gradient and time-dependent HF Hessian. This correction reduces the errors in noncovalent interaction energies of closed- and open-shell dimers. For the open-shell dimers, the RPAS(HF) method leads to a consistent error reduction by 50% or more compared to the RPA method for the cases of hydrogen-bonding, metal-solvent, carbene-solvent, and dispersion interactions. We also find that the pS corrections are more important in error reduction compared to higher-order exchange corrections to the RPA method. Overall, for open shells, the RPAS(HF)-corrected RPA method provides chemical accuracy for noncovalent interactions and is more reliable than other perturbative schemes and dispersion-corrected density functional approximations, highlighting its importance as a reliable beyond-RPA correction.
@article{joshi2024rpa, title = {Generalized perturbative singles corrections to the random phase approximation method: Impact on noncovalent interaction energies of closed- and open-shell dimers}, author = {Joshi, Pulkit and Voora, Vamsee K.}, journal = {Journal of Chemical Physics}, volume = {160}, number = {1}, pages = {014103}, year = {2024}, doi = {10.1063/5.0180526}, }
2023
- Inorg. Chem.
Necrosis-Inducing High-Valent Oxo-Rhenium(V) Complexes with Potent Antitumor Activity: Synthesis, Aquation Chemistry, Cisplatin Cross-Resistance Profile, and Mechanism of ActionShubhangi Das, Pulkit Joshi, and Malay PatraInorganic Chemistry, 2023Chemotherapy with the cytotoxic platinum (Pt) drugs cisplatin, carboplatin, and oxaliplatin is the mainstay of anticancer therapy in the clinic. The antitumor activity of Pt drugs originates from their ability to induce apoptosis via covalent adduct formation with nuclear DNA. While the phenomenal clinical success is highly encouraging, resistance and adverse toxic side effects limit the wider applicability of Pt drugs. To circumvent these limitations, we embarked on an effort to explore the antitumor potential of a new class of oxo-rhenium(V) complexes of the type [(N∧N)(EG)Re(O)Cl] (where EG = ethylene glycolate and N∧N = bipyridine, Bpy (1); phenanthroline, Phen (2); 3,4,7,8-tetramethyl-phenanthroline, Me4Phen (3)). Investigation of speciation chemistry in aqueous media revealed the formation of [(N∧N)Re(O)(OH)3] as the biologically active species. Complex 3 was found to be the most potent among the three, with IC50 values ranging from 0.1 to 0.4 μM against a panel of cancer cells, which is 5-70-fold lower when compared with cisplatin. The higher potency of 3 is attributed to its higher lipophilicity, which enhanced cellular uptake. Importantly, complex 3 efficiently overcomes cisplatin resistance in ovarian, lung, and prostate cancer cells. In addition to reporting the aquation chemistry and identifying the active species in aqueous media, we performed in-depth in vitro mechanistic studies, which revealed that complex 3 preferentially accumulates in mitochondria, depletes mitochondrial membrane potential, and upregulates intracellular reactive oxygen species (ROS), leading to ER stress-mediated necrosis-mediated cancer cell death.
@article{das2023rhenium, title = {Necrosis-Inducing High-Valent Oxo-Rhenium(V) Complexes with Potent Antitumor Activity: Synthesis, Aquation Chemistry, Cisplatin Cross-Resistance Profile, and Mechanism of Action}, author = {Das, Shubhangi and Joshi, Pulkit and Patra, Malay}, journal = {Inorganic Chemistry}, volume = {62}, number = {50}, pages = {20898--20914}, year = {2023}, doi = {10.1021/acs.inorgchem.3c03110}, }